
목차
1. 서론
2. 반-휘어진 시공간(Anti-de Sitter Space) 개요
2.1 일반 상대성이론과 반-휘어진 시공간
2.2 AdS 공간의 수학적 구조와 곡률 특성
2.3 양-밀스 이론 및 AdS/CFT 대응성(AdS/CFT Correspondence)
3. 반물질과 반-휘어진 시공간의 상호작용
3.1 반물질의 중력적 성질과 시공간 곡률과의 관계
3.2 AdS 공간에서 반물질이 이동하는 경로와 역학적 특성
3.3 반물질이 시공간 곡률을 변화시킬 가능성
4. 반물질의 AdS 공간 내 안정성 연구
4.1 반물질이 AdS 공간에서 안정적으로 존재할 수 있는 조건
4.2 반물질과 암흑물질의 관계 가능성
4.3 AdS 공간 내 반물질 붕괴 및 소멸 메커니즘
5. 결론 및 미래 연구 방향
1. 서론
반-휘어진 시공간(Anti-de Sitter Space, AdS)은 현대 물리학에서 중요한 개념으로, 특히 고차원 중력 이론과 끈 이론에서 필수적인 역할을 한다. 일반적으로 우리가 경험하는 우주는 휘어진 시공간을 가지며, 대다수의 물리학 이론은 시공간이 평탄하거나 양의 곡률을 가진다고 가정한다. 그러나 반-휘어진 시공간은 음의 곡률을 가지며, 이는 양자중력과 고에너지 물리에서 매우 중요한 의미를 갖는다.
반물질은 일반 물질과 동일한 질량을 가지면서도 전하와 같은 양자적 특성이 반대인 물질이다. 반물질은 일반 물질과 만나면 소멸하며, 이 과정에서 순수한 에너지가 방출된다. 현재까지 반물질과 시공간의 관계에 대한 연구는 상대적으로 적었으며, 특히 반물질이 AdS 공간에서 어떤 특성을 가질지에 대한 연구는 매우 제한적이다.
본 연구에서는 반물질이 AdS 공간에서 가지는 특성과 그 물리적 의미를 탐구한다. AdS 공간에서 반물질의 이동 경로와 역학적 특성을 분석하고, AdS 공간 내에서 반물질의 안정성을 평가하며, 이러한 연구가 양자중력과 우주론에 미치는 영향을 논의한다.
2. 반-휘어진 시공간(Anti-de Sitter Space) 개요
2.1 일반 상대성이론과 반-휘어진 시공간
일반 상대성이론에 따르면 시공간은 에너지와 질량의 분포에 따라 휘어진다. 이러한 시공간의 휘어짐은 물체의 운동을 결정하는 중요한 요소가 된다. 일반적으로 우주는 양의 곡률을 갖는다고 가정되지만, 반-휘어진 시공간(Anti-de Sitter Space, AdS)은 음의 곡률을 가지며, 이는 중력 이론에서 특수한 의미를 지닌다.
AdS 공간의 특징은 다음과 같다.
- 음의 우주 상수(Λ<0\Lambda < 0)를 가진다.
- 일반적인 유클리드 공간과 달리, 공간이 무한히 확장되는 대신 특정한 경계를 형성한다.
- 중력과 양자장론의 관계를 설명하는 AdS/CFT 대응성(AdS/CFT Correspondence)의 기반이 된다.
이러한 특징 때문에 AdS 공간은 양자중력 연구뿐만 아니라 반물질과 같은 특수한 형태의 물질이 시공간과 어떻게 상호작용하는지를 연구하는 데 유용한 모델이 된다.
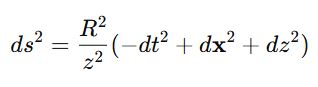
2.2 AdS 공간의 수학적 구조와 곡률 특성
AdS 공간은 음의 곡률을 가지며, 공간의 기하학적 성질을 설명하는 대표적인 메트릭(metric)으로 다음과 같이 표현된다.

여기서
- RR은 AdS 공간의 곡률 반경,
- zz는 AdS 공간의 "깊이"를 나타내는 좌표이다.
이 방정식은 AdS 공간이 단순한 유클리드 공간이 아니라, 음의 곡률을 가진 특수한 공간이라는 점을 보여준다.
2.3 AdS 공간과 양자 중력 이론의 연결
AdS 공간은 양자중력 연구에서 중요한 역할을 한다. 특히 AdS/CFT 대응성은 다음과 같은 점에서 중력과 양자장을 연결하는 데 중요한 의미를 갖는다.
- 고차원 중력 이론: AdS 공간은 4차원 시공간뿐만 아니라, 5차원 이상의 공간에서도 적용될 수 있으며, 초끈이론과의 연관성을 가진다.
- 등각 장론과의 연결: AdS 공간의 경계(boundary)에서 정의된 등각 장론(Conformal Field Theory, CFT)은 중력 이론과 양자장론 사이의 상관관계를 연구하는 데 활용된다.
- 검증 가능한 물리적 모델: AdS 공간에서의 중력 방정식은 특정한 조건에서 실험적으로 검증할 수 있는 물리 모델을 제공한다.
이러한 특징은 반물질이 AdS 공간에서 어떻게 작용하는지를 이해하는 데 중요한 기초가 된다.
3. 반물질과 반-휘어진 시공간의 상호작용
3.1 반물질의 중력적 성질과 시공간 곡률과의 관계
반물질은 일반 물질과 동일한 질량을 가지지만, 전하 및 반입자의 특성이 반대인 물질이다. 일반적인 중력 이론에서는 반물질도 동일한 중력장을 경험하지만, AdS 공간과 같은 특수한 시공간에서는 새로운 현상이 나타날 가능성이 있다.
- AdS 공간의 음의 곡률은 반물질이 일반적인 뉴턴 역학과 다르게 운동하게 만들 수 있다.
- 반물질이 AdS 공간에서 중력적으로 어떻게 작용하는지는 현재까지 명확히 밝혀지지 않은 문제이다.
3.2 AdS 공간에서 반물질의 이동 방정식과 동역학적 특성
반물질이 AdS 공간에서 어떻게 이동하는지는 아인슈타인 방정식과 반물질의 질량-에너지 관계를 통해 분석할 수 있다. 반물질의 운동을 설명하기 위해 고려해야 할 요소는 다음과 같다.
- AdS 공간의 곡률이 반물질의 궤적을 어떻게 변형시키는가?
- 반물질이 중력적 포획(gravitational trapping) 효과를 경험하는가?
- AdS 공간에서 반물질의 운동은 일반적인 민코프스키 공간에서의 운동과 어떻게 다른가?
3.3 반물질이 시공간 곡률을 변화시킬 가능성
반물질이 시공간 곡률에 미치는 영향은 일반 물질과 다를 수 있다. 예를 들어,
- 반물질이 중력장 내에서 일반 물질과 다른 방식으로 붕괴하는가?
- 반물질이 AdS 공간에서 특이점(singularity)을 형성할 가능성이 있는가?
이러한 질문들은 반물질과 AdS 공간의 상호작용을 연구하는 중요한 주제 중 하나이다.
4. 반물질의 AdS 공간 내 안정성 연구
4.1 AdS 공간 내 반물질의 존재 가능성 및 안정성 조건
반물질이 AdS 공간에서 안정적으로 존재하려면 다음과 같은 조건이 만족되어야 한다.
- 반물질이 음의 곡률 환경에서 유지될 수 있는가?
- 반물질과 일반 물질이 만날 경우 소멸이 일어나지 않고 안정적으로 유지될 수 있는가?
4.2 반물질과 암흑물질의 관계 가능성
일부 이론에서는 반물질이 암흑물질과 특정한 관계를 가질 가능성을 제시한다.
- 반물질이 AdS 공간에서 암흑물질과 상호작용할 가능성이 있는가?
- 암흑물질과 반물질의 물리적 특성을 비교할 수 있는가?
4.3 AdS 공간 내 반물질 붕괴 및 소멸 메커니즘
- AdS 공간에서 반물질이 붕괴하는 방식은 기존의 시공간과 어떻게 다른가?
- 반물질-물질 상호작용이 AdS 공간에서 변화할 가능성이 있는가?
이러한 연구는 반물질과 AdS 공간의 관계를 밝히는 중요한 단계가 될 것이다.
5. 결론 및 미래 연구 방향
반물질과 반-휘어진 시공간(AdS)의 관계는 아직 밝혀지지 않은 물리학의 중요한 연구 주제다. 본 연구에서는 반물질이 AdS 공간에서 가지는 특성을 분석하고, 그 안정성과 운동 특성을 논의했다.
향후 연구 방향으로는 다음과 같은 주제가 있다.
반물질이 AdS 공간에서 어떻게 움직이는지에 대한 더 정밀한 시뮬레이션 연구
반물질과 암흑물질의 관계를 AdS/CFT 대응성을 활용하여 분석
고에너지 물리 실험을 통해 반물질과 AdS 공간의 관계 검증
이러한 연구가 진행된다면, 반물질의 특성과 중력 이론을 결합한 새로운 물리 법칙을 발견하는 데 기여할 수 있을 것이다.
'반물질과 과학기술에 대하여' 카테고리의 다른 글
| 반물질과 액체 금속의 상호작용 – 초고온 금속의 물리적 특성 변화 (0) | 2025.04.06 |
|---|---|
| 반물질을 이용한 저주파 공명 기술 – 딥스페이스 통신 적용 가능성 (0) | 2025.04.05 |
| 반물질이 핵자핵 반응에서 촉매 역할을 할 수 있을까? (0) | 2025.04.05 |
| 반물질-중입자 비대칭 문제와 새로운 물리 법칙 탐색 (0) | 2025.04.04 |
| 반물질을 이용한 블랙홀 정보 역설 검증 실험 가능성 (0) | 2025.04.04 |