
목차
- 서론: 반물질과 회전 블랙홀 연구의 중요성
1.1 반물질의 우주적 의미
1.2 회전 블랙홀에 대한 현대 물리학의 관점
1.3 반물질과 카-뉴먼 계량의 접점 - 카-뉴먼 계량 개요 – 회전·전하 블랙홀의 수학적 구조
2.1 카-뉴먼 계량의 기본 수식
2.2 사건의 지평선과 에르고스피어
2.3 카 블랙홀과의 차이점 - 반물질과 카-뉴먼 블랙홀의 동역학적 상호작용
3.1 반물질의 전하와 궤도 변화
3.2 프레임 드래깅과 반입자의 에너지 변화
3.3 소멸 반응으로 인한 플라즈마 효과 - 반물질 주입이 블랙홀 회전 역학에 미치는 영향
4.1 각운동량 변화 시나리오
4.2 회전 속도 변화에 따른 사건의 지평선 반응
4.3 이론적 모델링과 시뮬레이션 연구 - 천체물리 실험과 향후 연구 방향
5.1 감마선 플레어 및 제트 비대칭성 분석
5.2 우주망원경과 전파 간섭계를 통한 관측 가능성
5.3 반물질-블랙홀 상호작용의 물리학적 함의
1. 서론: 반물질과 회전 블랙홀 연구의 중요성
1.1 반물질의 우주적 의미
반물질은 표준 입자와 동일한 질량을 가지면서 반대 전하를 가진 입자들로 구성된다. 반양성자, 반전자(양전자), 반중성자 등으로 대표되는 반물질은 대칭성의 근간을 이루며, 우주 초기 대폭발(빅뱅) 이후 왜 반물질보다 물질이 더 많이 남았는지를 설명하는 데 중요한 역할을 한다. 이로 인해 반물질은 입자물리학과 우주론 양쪽에서 큰 관심을 받아 왔다.
1.2 회전 블랙홀에 대한 현대 물리학의 관점
회전 블랙홀은 질량뿐 아니라 각운동량까지 지닌 특수한 천체다. 이러한 블랙홀은 일반적으로 카-블랙홀(Kerr Black Hole)로 불리며, 그 구조는 사건의 지평선 바깥에 ‘에르고스피어’라는 독특한 영역을 형성한다. 이 영역에서는 시공간 자체가 회전하기 때문에, 입자나 빛조차도 특정 방향으로만 운동할 수 있게 된다.
1.3 반물질과 카-뉴먼 계량의 접점
카-뉴먼 계량(Kerr–Newman metric)은 블랙홀이 질량(M), 각운동량(J), 전하(Q)를 모두 지닌 경우를 설명하는 일반상대론 해석이다. 반물질은 전하가 반대이므로 카-뉴먼 블랙홀 주변에서 일반 입자와는 다른 동역학적 행동을 보일 수 있다. 이러한 상호작용을 연구하면, 중력과 전자기력의 통합적 이해에 새로운 통찰을 줄 수 있다.
2. 카-뉴먼 계량 개요 – 회전·전하 블랙홀의 수학적 구조
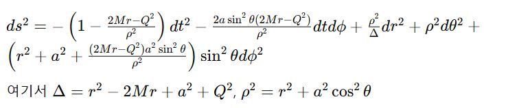
2.1 카-뉴먼 계량의 기본 수식
카-뉴먼 계량은 아인슈타인의 장 방정식의 해 중 하나로, 다음과 같은 형태를 가진다:

이다. 이 방정식은 질량, 회전, 전하가 모두 반영된 시공간 구조를 설명하며, 반물질의 궤도 운동에 중대한 영향을 미친다.
2.2 사건의 지평선과 에르고스피어
이 블랙홀 구조에서는 사건의 지평선이 두 개 존재할 수 있다. 이중 바깥쪽 지평선은 물리적으로 관측 가능한 영역의 한계를 규정한다. 반면 에르고스피어는 사건의 지평선 바깥쪽에 위치하며, 시공간이 끌려가는 프레임 드래깅 현상이 극대화되는 곳이다. 반물질이 이 영역에 진입하면 일반 물질보다 더 빠른 궤도 변화를 겪는다.
2.3 카 블랙홀과의 차이점
카 블랙홀은 전하가 없는 회전 블랙홀이다. 반면 카-뉴먼 블랙홀은 전하가 존재하며, 이에 따라 블랙홀 외부의 전자기장이 형성된다. 반물질은 전기적으로 반대 성질을 가지므로, 카-뉴먼 계량에서는 그 움직임이 보다 극단적으로 왜곡된다.
3. 반물질과 카-뉴먼 블랙홀의 동역학적 상호작용
3.1 반물질의 전하 특성과 블랙홀 주변 궤도 변화
반물질의 가장 큰 물리적 특성 중 하나는, 그 전하가 일반 물질과 반대라는 점이다. 예를 들어, 반양성자는 양성자와 동일한 질량을 가지면서 음전하를 띤다. 이와 같은 전하 차이는 카-뉴먼 블랙홀 주변에서 큰 물리적 차이를 만들어낸다.
카-뉴먼 블랙홀은 회전뿐 아니라 전하도 가지고 있어 주변에 복합적인 전자기장을 형성한다. 일반 양전하 입자가 블랙홀 주변의 전기력선에 따라 일정한 방향으로 유도되는 반면, 반물질은 그 반대 방향으로 힘을 받는다. 이로 인해 반물질 입자는 기존의 중력 중심 궤도에서 벗어나, 매우 독특한 경로로 궤도 이동을 보일 수 있다.
이러한 궤도 차이는 에너지 보존 및 운동량 보존 법칙에도 새로운 형태의 해석을 요구한다. 특히 고에너지 천체 환경에서는 반물질의 궤도 이탈이 플라즈마 제트나 고속 입자 방출과 연관될 수 있으며, 이는 천체물리학 관측에 의미 있는 단서가 될 수 있다.
3.2 에르고스피어 내부의 반물질 상호작용
에르고스피어는 회전 블랙홀 주변에서 시공간이 블랙홀의 회전에 따라 끌려가는 영역이다. 이곳에서는 모든 입자가 시공간 자체에 의해 특정 방향으로만 움직일 수밖에 없다. 이른바 프레임 드래깅(frame dragging) 현상이다.
반물질은 이러한 시공간 회전에 의해 운동 경로가 강제적으로 휘어지며, 이때 전자기장과의 상호작용이 중첩되면서 에너지 상태에 큰 변화가 발생한다. 특히 반물질은 일반 입자와는 달리, 전기력의 방향이 반대이기 때문에 블랙홀의 전하와 상호작용하는 방식이 완전히 달라진다.
페넬로프 과정(Penrose Process)은 에르고스피어 내부에서 입자의 일부 에너지를 블랙홀로부터 추출할 수 있는 메커니즘을 설명하는 이론이다. 반물질이 이 과정에 참여할 경우, 전자기적 반발력에 의해 에너지 추출 효율이 증가할 수 있다. 이는 향후 우주 동력 시스템이나 에너지 원천으로서의 블랙홀 활용에 이론적 기반을 제공할 수 있다.
3.3 반물질의 소멸 반응과 고에너지 방사 현상
반물질이 일반 물질과 접촉할 경우, 쌍소멸(annihilation) 반응을 일으켜 순수한 에너지로 변환된다. 이때 방출되는 감마선은 매우 높은 주파수와 에너지를 가지며, 블랙홀 주변의 고에너지 천체 환경에서 자주 포착된다.
카-뉴먼 블랙홀 주변에서 반물질이 소멸 반응을 일으키면, 그 방사 패턴은 전자기장 및 중력의 중첩 효과에 따라 기존 감마선 방출 모델과 다른 특성을 가진다. 이러한 특이점은 감마선 망원경이나 중성미자 검출기 등을 통해 간접적으로 관측될 가능성이 있다. 특히 제트 불균형이나 비대칭 방출 패턴이 확인될 경우, 반물질이 물질과 혼합되어 소멸된 흔적일 수 있다.
4. 반물질 주입이 블랙홀 회전 역학에 미치는 영향
4.1 반물질 주입 시 블랙홀 전하 및 각운동량 변화
카-뉴먼 블랙홀은 질량, 전하, 각운동량을 모두 포함하는 복합 천체다. 이 구조에 반물질이 주입될 경우, 전하가 감소하거나 반대 극성을 갖게 되고, 각운동량에도 변화가 발생한다.
예를 들어, 반양성자와 같은 음전하를 가진 반물질이 블랙홀로 흡수되면, 블랙홀의 총 전하는 줄어들거나 전하 극성이 바뀔 수 있다. 이는 블랙홀 외부에 형성된 전자기장의 성질을 직접적으로 바꾸게 되며, 주변 입자의 운동 경로에도 영향을 미친다.
또한 반물질이 회전 방향이 다른 운동량을 가지고 블랙홀에 주입될 경우, 블랙홀의 전체 각운동량이 줄어들거나 심지어 역회전 성분을 가지게 될 수도 있다. 이러한 회전 변화는 사건의 지평선의 위치, 에르고스피어의 크기, 블랙홀 외부의 공간 기하 구조까지도 변화시킬 수 있다.
4.2 사건의 지평선 반응과 회전 속도 변화
블랙홀의 회전 속도는 사건의 지평선 반경과 직접적인 연관을 갖는다. 회전 속도가 감소하면 지평선의 반경이 증가하며, 반대로 회전이 빨라지면 지평선 반경은 줄어든다.
반물질이 지속적으로 주입되면, 이러한 속도 변화가 누적되어 사건의 지평선 구조가 재형성될 수 있다. 이론적으로는 일정 조건 하에서 블랙홀이 극한의 회전 속도를 상실하고, 단순한 슈바르츠실트 블랙홀로 수렴하는 경우도 고려된다.
특히 반물질이 대량으로 주입되면서 전자기장의 방향까지 바뀌는 경우, 사건의 지평선 근처에서 중력적 붕괴 경계 조건이 수정될 수 있으며, 이는 블랙홀 내부 해석에까지 영향을 줄 수 있는 근본적인 변화다.
4.3 수치 시뮬레이션을 통한 역학 분석
현재 이러한 물리적 현상은 수학적으로는 복잡한 비선형 미분방정식을 포함하고 있기 때문에, 수치 시뮬레이션이 핵심 연구 수단으로 활용된다. 일반상대론적 전자기 유체역학(GR-MHD)을 기반으로 하는 시뮬레이션에서는 반물질 주입이 블랙홀 외부 자기장 분포, 입자 궤도 패턴, 제트 방출 방향 등에 명백한 영향을 주는 것으로 나타난다.
특히 반물질 유입 시 전하 불균형과 회전 모멘텀 변화는, 블랙홀 중심부에서 방출되는 플라즈마 제트의 분포를 왜곡시킬 수 있으며, 이는 실제 천체 관측과 일치하는 패턴을 일부 재현하는 데 성공하고 있다.
5. 천체물리 실험과 향후 연구 방향
5.1 감마선 플레어 및 제트 비대칭성 분석
블랙홀 주변에서의 반물질 소멸 반응은 고에너지 감마선을 발생시키며, 이는 Fermi-LAT와 같은 감마선 망원경을 통해 감지될 수 있다. 특히 제트의 비대칭성이나 감마선 방출 패턴이 기존 모델과 다를 경우, 반물질의 참여 가능성을 추론할 수 있는 물리적 근거가 된다.
5.2 우주망원경과 전파 간섭계를 통한 관측 가능성
Event Horizon Telescope(EHT)와 같은 고분해능 전파 간섭계는 블랙홀 주변의 섬세한 구조를 직접 이미지화할 수 있는 도구다. 반물질의 간섭으로 인한 플라즈마 구조 변화, 전자기 이상 반응 등이 이들 관측 시스템을 통해 드러날 수 있다.
5.3 반물질-블랙홀 상호작용의 물리학적 함의
이러한 연구는 단순히 블랙홀의 회전 역학을 넘어서, 전하 보존 법칙, CPT 대칭성, 그리고 중력과 전자기력의 통합 모델에 중요한 시사점을 제공한다. 향후 고에너지 입자 가속기 실험이나 우주 기반 관측 시스템을 통해 이론적 가설이 실험적으로 검증될 가능성도 열려 있다.
'반물질과 과학기술에 대하여' 카테고리의 다른 글
| 반물질을 활용한 중력파 변조 기술 – 차세대 중력파 통신 가능성 (0) | 2025.04.07 |
|---|---|
| 반물질-디락 페르미온 상호작용 연구 – 새로운 물질 상태 가능성 (0) | 2025.04.06 |
| 반물질과 액체 금속의 상호작용 – 초고온 금속의 물리적 특성 변화 (0) | 2025.04.06 |
| 반물질을 이용한 저주파 공명 기술 – 딥스페이스 통신 적용 가능성 (0) | 2025.04.05 |
| 반물질과 반-휘어진 시공간(Anti-de Sitter Space)의 관계 연구 (0) | 2025.04.05 |